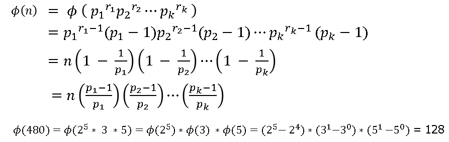
오일러 피(파이) 함수 ϕ(n)
1~n까지의 수 중에서 n과 서로소인 수의 갯수
※ 서로소 관계: 두 수 a, b의 공약수가 1뿐인 두 정수를 의미한다.
ϕ(1) = 1 (1은 1과 서로소)
ϕ(8) = { 1, 3, 5, 7 } = 4개
ϕ(13) = = 12개
ϕ(13) = = 12개
ϕ(15) = = 8개
성질
① pk에서 p가 소수이며, k가 1 이상의 자연수 일 때,
ϕ(p) = p−1. 역으로, ϕ(n) = n−1 이면, n은 소수이다.
ex) ϕ(7) = = 7 - 1 = 6개
② a가 p의 배수이다 = pk와 a가 서로소가 아니다.
pk이하의 p의 배수가 아닌 수는 pk-pk-1개 존재, 이것은 ϕ(pk ).
→ ϕ(pk ) = (p-1) × pk-1 = pk - pk-1
ex) ϕ(9) = ϕ(3*3) = (3-1) * 3 = = 6개
③ m과 n이 서로소라면, ϕ(mn)=ϕ(m)ϕ(n)이다.
ex) ϕ(30) = ϕ(6)ϕ(5) = ϕ(2)ϕ(3)ϕ(5) = 1 * 2 * 4 = 8
ex) ϕ(12) = ϕ(4)ϕ(3) = (4-2)*(3-1) = 2 * 2 = 4
ex) ϕ(6) = ϕ(2)ϕ(3) = (2-1)*(3-1) = 1 * 2 = 2
※ 참고

관련 문제
[BOJ] 4355 서로소 → ϕ(N)을 구하는 문제
[BOJ] 백준 4355 서로소
출처: https://www.acmicpc.net/problem/4355 Input 7 12 0 Output 6 4 오일러 피(파이) 함수 ϕ(n)를 이용합니다. 오일러 피(파이) 함수(Euler's phi function) 오일러 피(파이) 함수 ϕ(n) 1~n까지의 수 중..
zoosso.tistory.com
[SWEA] 3954 파이의 합 → ϕ(1) ~ ϕ(N) 합을 구하는 문제
[SWEA] 3954 파이의 합
출처: [SWEA] SW 문제해결 심화 - 이산수학 Input 3 1 30 100 200 1000 2000 Output #1 278 #2 9228 #3 912796 ϕ(1) ~ ϕ(N) 합을 구해야 하므로 ϕ(i)를 하나씩 구해서 합하면 TLE 발생 ① 에라토스테..
zoosso.tistory.com

'알고리즘' 카테고리의 다른 글
| 선택 정렬(Selection Sort) (2) | 2021.02.23 |
|---|---|
| 블록 껍질(Convex Hull) (0) | 2021.02.22 |
| [문자열] KMP 알고리즘 (0) | 2021.02.22 |
| LCS(Longest Common Subsequence) 알고리즘 (0) | 2021.02.21 |
| 소수 (Prime Number) 찾기 - 3 (0) | 2021.02.21 |
댓글