Activity Diagram
• 시스템의 dynamics 표현
• State가 아닌 Action Flow 표현
• 병렬 작업 표현 가능
• 마름모 = Alternative Path
• 검은색 바 = Parallel Activity
• 시스템 수준에서 하나의 오퍼레이션 수준에서도 작성할 수 이싿.
• Hierarchy가 안되고 Flat 하게 그려야 한다.


Swimlanes
수영장 레인(Swimlanes)을 활용하여
누가 어떤 일을 하는지 표현할 수 있다.
비즈니스 관점 표현해도 유용

Q) State Chart Diagram 차이는 무엇인가?
State와 Activity 중 어떤 것에 중점을 두느냐에 따라 다르다.
목적에 따라 네모칸 적는 항목이 달라지면
분석할 때 2개의 Diagram을 같이 활용해볼 수도 있다.
(상대적으로 State Chart가 더 많은 정보를 담고 있는 편)


[UML] State Chart Diagram
State Machine (Statechart) Diagram이름 그대로 상태(State)를 모델링하는 다이어그램각각의 상태가 어떤 events로 transition 되었는지 보여준다.if ) e3 이벤트 발생 S1 Entry "a3" → S1.1 Entry "a4" → S1.1
zoosso.tistory.com
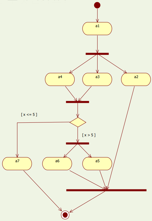
Q) 동시에 실행되는 Activity는 무엇인가?
A) a2 a3 a4 동시에 실행된다.
(a2, a5, a6) 이나 (a5, a6, a7)도 동시에 Activity 될 수는 있으나 명확하지는 않다.

예시) 비행기 예약 시스템
Customers는 [비행기 검색], [예약], [탑승권 구매], [좌석 구매]를 순차적으로 해야 한다.
탑승권 구매는 은행을 통해 검증되어야 한다.

'까망 동네 > OOAD & UML' 카테고리의 다른 글
| [OOAD] UP - Elaboration 단계 (1) | 2024.10.13 |
|---|---|
| [UML] Sequence Diagram (2) | 2024.10.12 |
| [OOAD] UP(Unified process) 무엇인가? (0) | 2024.10.11 |
| [UML] Use Case Diagram (0) | 2024.10.10 |
| [UML] State Chart Diagram (2) | 2024.10.05 |
댓글