반응형
Input
2
1 0
3 2
1 2
3 2
Output
#1 1
#2 3
첫번째 Case는 간선 없이 정점 한개 존재하므로, 최장 경로의 길이 = 1
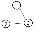
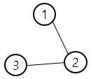
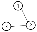
두번째 Case는 [3] - [2] - [1] or [1] - [2] - [3], 최장 경로의 길이 = 3

출발 정점을 [1] ~ [N]으로 해서 연결된 모든 간선을 DFS 탐색하여 최장 경로의 길이를 구합니다.
private static void DFS(int current, int cost, boolean[] visited) {
visited[current] = true;
// 정점 [current]와 연결된 정점 리스트
List<Integer> to = adList.get(current);
for(int i = 0; i < to.size(); i++) {
int next = to.get(i);
if(!visited[next]) {
DFS(next, cost + 1, visited);
visited[next] = false;
}
}
visited[current] = false;
answer = Math.max(answer, cost);
}
Sample Case
Input
1
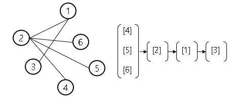
6 5
1 2
1 3
2 4
2 5
2 6
Output
#1 4

import java.io.BufferedReader;
import java.io.IOException;
import java.io.InputStreamReader;
import java.util.ArrayList;
import java.util.List;
import java.util.StringTokenizer;
public class Solution {
static int N, M;
static List<List<Integer>> adList;
static int answer;
public static void main(String[] args) throws IOException {
BufferedReader br = new BufferedReader(new InputStreamReader(System.in));
StringTokenizer st = null;
int T = Integer.parseInt(br.readLine());
for (int tc = 1; tc <= T; tc++) {
st = new StringTokenizer(br.readLine());
N = Integer.parseInt(st.nextToken()); // 정점의 개수
M = Integer.parseInt(st.nextToken()); // 간선의 개수
adList = new ArrayList<>();
// 인덱스를 1부터 하기 위해 임의로 한 개를 넣어둠
adList.add(new<Integer> ArrayList());
for(int i=1; i<=N; i++) {
adList.add(new<Integer> ArrayList());
}
while(M-- > 0) {
st = new StringTokenizer(br.readLine());
int u = Integer.parseInt(st.nextToken());
int v = Integer.parseInt(st.nextToken());
// 무방향 그래프이므로 양 정점에 간선 정보 저장.
adList.get(u).add(v);
adList.get(v).add(u);
}
answer = 0;
// 각 정점을 출발 정점으로 설정해서 최장 경로 길이를 구합니다.
for(int start = 1; start <= N; start++) {
DFS(start, 1, new boolean[N+1]);
}
System.out.println("#" + tc + " " + answer);
}
}
private static void DFS(int current, int cost, boolean[] visited) {
visited[current] = true;
// 정점 [current]와 연결된 정점 리스트
List<Integer> to = adList.get(current);
for(int i = 0; i < to.size(); i++) {
int next = to.get(i);
if(!visited[next]) {
DFS(next, cost + 1, visited);
visited[next] = false;
}
}
visited[current] = false;
answer = Math.max(answer, cost);
}
}

반응형
'PS 문제 풀이 > SWEA' 카테고리의 다른 글
| [SWEA] 3816 아나그램 (0) | 2021.03.01 |
|---|---|
| [SWEA] 3819 최대 부분 배열 (0) | 2021.02.28 |
| [SWEA] 1768 숫자야구게임 (0) | 2021.02.27 |
| [SWEA] 4006 고속도로 건설 2 (0) | 2021.02.27 |
| [SWEA] 3947 가장 짧은 길 전부 청소하기 (2) | 2021.02.25 |
댓글