출처: https://www.acmicpc.net/problem/9466
Input
2
7
3 1 3 7 3 4 6
8
1 2 3 4 5 6 7 8
Output
3
0
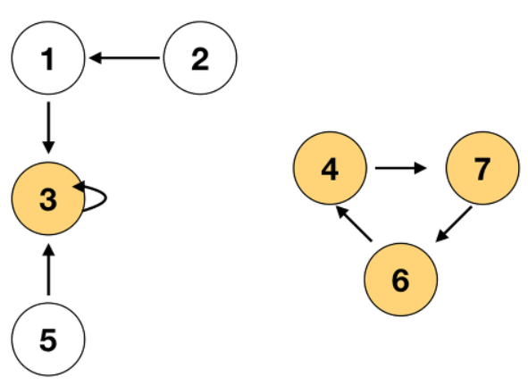
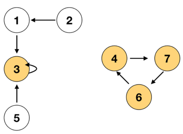
Test Case #1의 경우 아래와 같이 배열을 표현.


사이클을 형성하는 정점은 {4, 7, 6}, {3}으로
사이클을 속하지 못한 정점은 3개 입니다.
* 정점 1개로 사이클을 형성할 수 있음
※ 사이클을 형성하는 정점은 사이클끼리 간선을 가지는 형태
위상정렬 (Topological sort)
개념 DAG에서 의존성에 맞게 그래프의 정점을 정렬 DAG (Directed Acyclic graph) 간선에 방향이 존재하고, 사이클(cycle)이 없는 그래프. DAG는 노드간의 의존성을 나타내는데, 작업 간의 순서를 표현하는
zoosso.tistory.com
구현
* DFS를 통해 연결된 정점을 순회하되 사이클 형성 여부를 파악하기 위해서는
탐색을 시작한 지점에 대한 재방문이 필요.
① 방문하지 않은 정점을 시작 정점으로 해서 DFS 탐색
② checked[] : 이전 DFS 탐색 통해 사이클 가능 여부를 판단이 끝난 정점
③ visitied[] : DFS 탐색이 끝나는 시점을 알기 위한 사이클이 형성 여부
(사이클의 시작과 끝 위치)
시뮬레이션

낮은 번호의 정점 [1] 노드부터 DFS 탐색

DFS: [1 → 3 → 8 → 3] 탐색으로 3을 중복방문(visitied[])
▶ {3, 8} 사이클 형성
* 처음 [3]을 방문 했던 시점에서 재방문 전 [8]까지 사이클을 형성
아직 탐색하지 않은 [2] DFS 탐색

DFS: [2 → 1] 이미 탐색이 끝난(checked[]) [1]정점 방문.
정점 [1]이 사이클을 형성 여부와 상관없이 정점 [2]는 사이클을 형성 못함
이는 [9] 노드가 [1]을 방문할때도 마찬가지.

*인접 리스트를 활용해서 방향 그래프 구현
한 정점에서 나가는 방향의 개수가 1개이므로 인접리스트가 효율적.
인접행렬의 개수 N x N 크기의 불필요한 메모리 차지
Input
1
5
5 3 4 5 1
Output
3
※ 같이 보면 좋은 문제: [BOJ] 10451 순열 사이클
[BOJ] 백준 10451 순열 사이클
출처: https://www.acmicpc.net/problem/10451 Input 2 8 3 2 7 8 1 4 5 6 10 2 1 3 4 5 6 7 9 10 8 Output 3 7 순열정보를 아래와 같이 배열로 표현했을 때, 그래프에서 i → πi로 향하는 간선을 이어줍..
zoosso.tistory.com
import java.util.ArrayList;
import java.util.Scanner;
import java.util.Stack;
public class Main {
static ArrayList<ArrayList<Integer>> adList;
static boolean[] visitied, checked;
static Stack<Integer> stack;
static int answer;
public static void main(String[] args) {
Scanner sc = new Scanner(System.in);
int T = Integer.parseInt(sc.next());
for(int i=0; i<T; i++) {
int N = Integer.parseInt(sc.next());
adList = new ArrayList<>();
// arrayList 구조상 시작인덱스는 0이므로 dummy data로 한개 넣는다.
adList.add(new ArrayList<>());
// 1~N까지의 시작 노드를 adList에 넣는다.
for(int j=1; j<=N; j++) {
adList.add(new ArrayList<>());
// 문제에서 입력한 노드 연결을 입력 받는다.
int target = Integer.parseInt(sc.next());
// 방금 넣은 노드의 연결하고자 대상이 된다.
adList.get(j).add(target);
}
visitied = new boolean[N+1];
checked = new boolean[N+1];
stack = new Stack<>();
answer = 0;
for(int j=1; j<=N; j++) {
// 방문한적이 있는 곳이라면 이미 팀 판단여부가 끝났다면 pass
// visitied[]는 매 DFS마다 초기화되서 시작하게 해놓았다.
if(checked[j]) {
continue;
}
// 스택 비워주기
stack.clear();
DFS(j);
}
// 정답출력
System.out.println(answer);
}
}
private static void DFS(int curPosition) {
// 이미 싸이클이 확인된 지점과 선택(희망)한다면 그동안 쌓인 경로들을 팀을 형성할 수 없는
// 헛된 희망을 하고 있는 곳이므로 결과값에 합한다.
if(checked[curPosition]) {
answer += stack.size();
// 팀 가능 여부를 불가능으로 끝났다고 표시
for(int i=0; i<stack.size(); i++) {
checked[stack.get(i)] = true;
}
return;
}
// checked[curPosition]=fasle이면서
// 이미 방문한 곳에 도달 했다면 싸이클이 형성이 어디구간인지 확인해야 한다.
if(visitied[curPosition]) {
// 우선 팀 가능여부 판단이 끝났으므로 체크한다.
for(int i=0; i<stack.size(); i++) {
checked[stack.get(i)] = true;
}
// 싸이클을 형성하고 있는 원소를 무엇인지 구하는 것이 아니므로 개수만 파악한다.
// 스택에서 일일이 찾기보다는 map형태로 바로 찾는 것도 좋은 방법일 것이다.
for(int i=0; i<stack.size(); i++) {
if(stack.get(i) == curPosition) {
answer += i;
return;
}
}
}
// DFS 진행의 방문표시
visitied[curPosition] = true;
// 사이클 경로를 알기위한 방문한 노드 저장
stack.push(curPosition);
DFS(adList.get(curPosition).get(0));
// 다음 DFS 탐색을 위해 초기화 해놓음
visitied[curPosition] = false;
}
}

'PS 문제 풀이 > Baekjoon' 카테고리의 다른 글
| [BOJ] 백준 1931 회의실 배정 (0) | 2021.02.24 |
|---|---|
| [BOJ] 백준 10451 순열 사이클 (0) | 2021.02.24 |
| [BOJ] 백준 1149 RGB거리 (0) | 2021.02.24 |
| [BOJ] 백준 11724 연결요소의 개수 (0) | 2021.02.24 |
| [BOJ] 백준 10026 적록색약 (0) | 2021.02.24 |
댓글