반응형
출처: https://www.acmicpc.net/problem/1193
Input
14
Output
2/4

배열에 지그재그로 분수가 주어집니다.
X가 주어질 때, X번째 분수를 구하는 문제입니다.
* 10,000,000 숫자를 입력받기 위해 long타입 처리
구현
지그재그 순서는 다음과 같습니다.

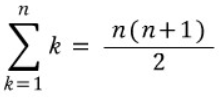
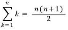
대각선 한 줄에 위치한 칸의 개수는 등차수열 형태를 가집니다.
▷ 1 + 2 + 3 + 4 + 5 + ... + (n-1) + n
[등차수열 공식]

등차 수열 공식을 이용해 x는 몇 번째 대각선에 위치한지 알 수 있습니다.
14 → 5 Line
15 → 5 Line
16 → 6 Line
21 → 6 Line
22 → 7 Line
28 → 7 Line
29 → 8 Line
n-th Line이 홀수일 때,
→ 분자는 n부터 감소
→ 분모는 1부터 증가
n-th Line이 짝수일 때,
→ 분자는 1부터 증가
→ 분모는 n부터 감소
n번째 대각선의 시작지점을 구한 후,
k 번째 위치를 구할 때, 아래 공식 이용.
k = x - ((n-1)*n / 2)
※ 시작지점은 홀수/짝수 대각선에 따라 다릅니다.
홀수/짝수에 따라 분자/분모를 다르게 출력.
- [홀수 일 때] n-k+1 / k
- [짝수 일 때] k / n-k+1
import java.util.Scanner;
public class Main {
public static void main(String[] args) {
Scanner sc = new Scanner(System.in);
long x = sc.nextLong();
long n = 1;
while(true) {
// 등차수열의 합
long sum = n * ( n + 1) / 2;
// 등차수열의 합과 주어진 x 비교
if(x <= sum) {
break;
}
n++;
}
long k = x - ((n-1) * n / 2);
if(n%2 == 1) { // 홀수 일 때
System.out.println((n-k+1) + "/" + k);
}else { // 짝수 일 때
System.out.println(k + "/" + (n-k+1));
}
}
}

반응형
'PS 문제 풀이 > Baekjoon' 카테고리의 다른 글
| [BOJ] 백준 1205 등수 구하기 (0) | 2021.02.24 |
|---|---|
| [BOJ] 백준 9012 괄호 (0) | 2021.02.24 |
| [BOJ] 백준 1021 회전하는 큐 (0) | 2021.02.24 |
| [BOJ] 백준 5430 AC (0) | 2021.02.24 |
| [BOJ] 백준 2579 계단 오르기 (0) | 2021.02.24 |
댓글