반응형
출처: https://www.acmicpc.net/problem/11050
Input
5 2
Output
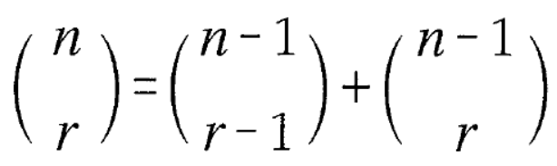
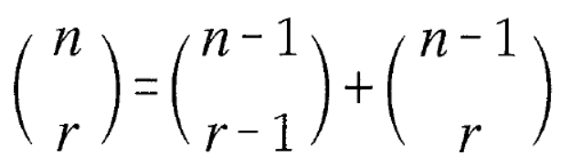
※ 이항 계수(binomial coefficient)는 n개의 서로 다른 원소 중에서 r개의 원소를 순서없이 골라내는 방법의 수

다음과 같은 점화식이 존재합니다.

* n == r 이거나 r == 0 이며 1을 반환한다!
▶ 재귀 방식 이용
DP 방식 풀이: [BOJ] 11051 이항 계수 2
[BOJ] 백준 11051 이항 계수 2
출처: https://www.acmicpc.net/problem/11051 Input 5 2 Output 10 [BOJ] 11050 이항 계수 1 문제처럼 재귀방식으로 접근하면 시간제한이 걸립니다. [BOJ] 백준 11050 이항 계수 1 출처: https://www.acmicpc..
zoosso.tistory.com
import java.util.Scanner;
public class Main{
public static void main(String[] args) {
Scanner sc = new Scanner(System.in);
int N = Integer.parseInt(sc.next());
int K = Integer.parseInt(sc.next());
System.out.println(bino(N,K));
}
private static int bino(int n, int k) {
if(n == k || k == 0) return 1;
return bino(n-1,k-1) + bino(n-1,k);
}
}

반응형
'PS 문제 풀이 > Baekjoon' 카테고리의 다른 글
| [BOJ] 백준 1890 점프 (0) | 2021.02.23 |
|---|---|
| [BOJ] 백준 11051 이항 계수 2 (0) | 2021.02.23 |
| [BOJ] 백준 1932 정수 삼각형 (0) | 2021.02.23 |
| [BOJ] 백준 2947 나무 조각 (0) | 2021.02.23 |
| [BOJ] 백준 2583 영역 구하기 (0) | 2021.02.23 |
댓글